Normalização Europeia da Qualidade do Ar Interior

Este artigo foi originalmente publicado na edição nº 158 da Edifícios e Energia (Março/Abril 2025).

*Artigo cedido pelo REHVA Journal de Junho

Autores do artigo:

Bjarne Wilkens Olesen, Professor emeritus, International Centre for Indoor Environment and Energy, Department of Environmental and Resource Engineering, Technical University of Denmark (DTU), bwol@dtu.dk

A Normalização na Qualidade do Ar Interior (QAI) está principalmente focada nos requisitos de saúde e nos requisitos para a ventilação. Os requisitos de saúde estão estabelecidos pela OMS e são muitas vezes referenciados nas normas de QAI. Atualmente, a norma europeia mais importante para a QAI é a EN 16798- 1/2. Esta norma foi desenvolvida na comissão técnica do CEN – TC156 e encontra-se agora em revisão. Uma norma semelhante, a ISO 17772-1/2 foi desenvolvida em paralelo pela ISO. A norma também inclui requisitos para conforto térmico, acústico e iluminação. O presente artigo concentrar-se-á nas partes que lidam com a QAI. Há centenas de substâncias no ar interior que podem influenciar a saúde dos ocupantes e a perceção da qualidade do ar, por isso, as normas geralmente prescrevem um determinado caudal de ar novo como critério para a QAI. O artigo explicará o uso da norma e dará exemplos de critérios, usando caudais de ar novo prescritos e critérios para substâncias individuais.

Palavras-chave: Qualidade do Ar Interior (QAI), Ventilação (ar novo), Normas

INTRODUÇÃO

A primeira norma internacional que lidava com todos os parâmetros do ambiente interior (conforto térmico, qualidade do ar, iluminação e acústica) foi publicada em 2007 – a norma EN 15251. Esta norma prescreve parâmetros de entrada para a conceção e avaliação do desempenho energético dos edifícios e fazia parte do conjunto de normas desenvolvidas para apoiar a implementação da Diretiva sobre o Desempenho Energético dos Edifícios, EPBD (Energy Performance of Buildings Directive). Esta norma foi revista e publicada como EN 16789-1. Além da norma, foi desenvolvido para a apoiar e explicar com mais detalhe um Relatório Técnico – TR 16789-2:2017.

PARTE DA QUALIDADE DO AR INTERIOR CONTIDA NA EN 16798-1/2

A norma é escrita em linguagem normativa, com texto informativo incluído no relatório técnico. A norma inclui critérios padrão em 3-4 categorias (Quadro 1) para os parâmetros do ambiente interior, conforme descrito neste artigo. No entanto, encontra-se numa série de quadros no anexo informativo B. Cada país pode decidir se deseja utilizar esses valores padrão, usar apenas uma categoria ou usar valores bastante diferentes, que serão incluídos num anexo nacional normativo A com uma estrutura semelhante ao anexo B.

Quadro 1. Descrição da aplicabilidade das categorias utilizadas

É importante enfatizar que os requisitos e critérios padrão são baseados na influência sobre os ocupantes e a norma não define critérios diretos dependendo do tipo de sistema (mecânico ou não mecânico) utilizado para condicionar o espaço.

O draft do relatório técnico TR 16789-2 inclui orientações para a norma nas seções semelhantes. Este relatório inclui também algumas secções e anexos adicionais com conceitos mais voluntários. Paralelamente, dois documentos semelhantes, ISO 17772 e ISO-TR17772, foram publicados como documentos quase idênticos.

Os requisitos para a qualidade do ar interior são expressos principalmente em termos de caudal mínimo de ar novo. Os requisitos gerais para o projetista em relação à qualidade do ar interior são os mesmos para edifícios residenciais e não residenciais. Os parâmetros de conceção para a qualidade do ar interior devem ser derivados utilizando um ou mais dos seguintes métodos:

• Método baseado na qualidade percebida do ar;

• Método utilizando critérios para concentração de poluentes;

• Método baseado em caudais de ar novo pré-definidos.

Dentro de cada método, o projetista deve escolher entre diferentes categorias de qualidade do ar interior e definir qual a categoria de edifício que será usada. O método utilizado deve ser documentado e deve ser explicado porque é que o método selecionado é adequado.

MÉTODO BASEADO NA QUALIDADE PERCEBIDA DO AR

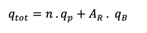
O caudal total de ar novo na zona de respiração é encontrado combinando a ventilação para pessoas e edifício, calculada pela seguinte fórmula.

 (1)

Onde:

qtot é o caudal total de ar novo na zona de respiração, l/s;

n é o valor de projeto para o número de pessoas na sala;

qp é o caudal de ar novo por ocupante, l/s/pessoa;

AR é a área do piso, m²;

qB é o caudal de ar novo para emissões do edifício, l/s/m²).

Os quadros básicos com os valores padrão são os Quadros 2 e 3. Os níveis de qualidade percebida do ar são definidos para pessoas não adaptadas. Se em casos especiais o projeto incluir pessoas adaptadas (ver TR 16789-2).

Um edifício é, por norma, considerado pouco poluente, a menos que atividades anteriores tenham resultado na poluição do edifício (por exemplo, fumo). Neste caso, o edifício deve ser considerado não pouco poluente. A categoria muito pouco poluente requer que a maioria dos materiais de construção utilizados para acabamento das superfícies interiores atenda aos critérios nacionais ou internacionais de materiais muito pouco poluentes.

O relatório técnico mostrará quadros com valores padronizados baseados nos dois quadros acima e uma densidade assumida de ocupação. Um exemplo é dado aqui no Quadro 4.

MÉTODO USANDO CRITÉRIOS PARA CONCENTRAÇÃO DE POLUENTES

O caudal de ar novo necessário para diluir um poluente deve ser calculado pela seguinte equação:
 (2)

Onde:

Qh é o caudal de ar novo necessário para diluição, em litros por segundo;

Gh é a carga de poluição de um poluente, em microgramas por segundo;

Ch,i é o valor orientador de um poluente, ver Anexo B6, em microgramas por m³;

Ch,o é a concentração de poluentes na entrada de ar, em microgramas por m³;

εv é a eficácia da ventilação, 1.

NOTA. Ch,i e Ch,o podem também ser expressos como ppm (vol/vol). Neste caso, a carga de poluição Gh deve ser expressa em l/s. Para calcular o caudal de ar novo de projeto a partir da Eq. (2), o poluente (ou grupo de poluentes) mais crítico ou relevante deve ser identificado e a carga de poluição no espaço deve ser estimada. Quando este método é usado, é necessário que o CO2 seja utilizado como gás traçador para a emissão proveniente das pessoas (bio efluentes).

MÉTODO BASEADO EM CAUDAIS DE AR NOVO PRÉ-DEFINIDOS

Este é um método para determinar certos caudais mínimos de ar novo pré-definidos estimados para atender aos requisitos, tanto de qualidade percebida do ar, quanto de saúde na zona ocupada.

CAUDAIS DE AR NOVO DE PROJETO PARA EDIFÍCIOS RESIDENCIAIS

Os caudais de ar novo pré-definidos podem ser estabelecidos a nível nacional com base em um ou mais dos seguintes critérios: taxa total de renovação do ar para a habitação, caudais de ar novo para divisões específicas, caudais de ar de exaustão de divisões específicas. Num anexo da norma, são apresentados os valores padrão para os três critérios (ver Quadro 6). Pressupõe-se que o ar seja fornecido às salas de estar e extraído das zonas húmidas. Tanto o caudal total de ar novo para toda a habitação quanto o caudal de ar de exaustão das zonas húmidas devem ser calculadas. O maior dos dois valores deve ser utilizado. No relatório técnico, são apresentados vários exemplos de caudais de ar novo em edifícios residenciais.

A norma também descreve conceitos para edifícios com ventilação natural, nos quais os critérios baseados no CO2 podem ser utilizados. Num anexo, é apresentada uma metodologia para definir áreas padrão de abertura para sistemas de ventilação natural em habitações (ver Quadro 7). As áreas de abertura devem ser providenciadas na forma de grelhas de insuflação/extração, condutas de tiragem, grelhas de janelas ou sistemas similares.

FILTRAGEM E PURIFICAÇÃO DO AR

A norma também estabelece alguns requisitos sobre o uso de filtragem e purificação do ar. A influência da posição das entradas de ar exterior, da filtragem e da purificação do ar deve ser considerada de acordo com o projeto de norma prEN 16789-3 (revisão da EN 13779) e o draft do relatório técnico TR 16789-2. Se forem utilizados sistemas de filtragem e purificação do ar, devem ser considerados os seguintes pontos:

• Redução da quantidade de poluentes transportados pelo ar (pólenes, fungos, esporos, partículas, poeiras) provenientes da entrada de ar exterior, através da passagem do ar por um filtro.

• Circulação do ar secundário através de um filtro ou outra tecnologia de purificação do ar para reduzir a quantidade de poluentes no ar.

• Redução da concentração de odores e contaminantes gasosos através da circulação do ar secundário ou recirculação do ar de retorno (purificação do ar na fase gasosa).

As diretrizes de projeto para purificação e filtragem do ar são apresentadas nas normas EN 16789-3 e ISO DIS 16814. A substituição parcial do ar exterior por sistemas de purificação do ar é descrita no draft do relatório técnico TR16789-2.

CONCLUSÃO

A norma apresenta valores para o projeto de sistemas de ventilação mecânica com base em caudais de ar novo recomendados. Para sistemas de ventilação natural, o projeto pode ser baseado nos níveis recomendados de CO2.

Há necessidade de atualizar a norma. No método 2, há apenas uma referência aos critérios da OMS para substâncias individuais, sendo que outros índices ou substâncias poderiam ser considerados. Um dos poluentes mais críticos, as partículas, não é abordado na norma.
Por fim, o uso de purificação do ar precisa ser ampliado e incorporado como parte normativa.

 

Bibliografia

EN 16798-1:2019, Part 1: Indoor Environmental Input Parameters for Design and Assessment of Energy Performance of Buildings Addressing Indoor Air Quality, Thermal Environment, Lighting and Acoustics, CEN, 2019.

CEN/TR 16798-2:2019, Guideline for Using Indoor Environmental Input Parameters for the Design and Assessment of Energy Performance of Buildings, Draft for Working Group Red, CEN, 2019.

ISO 17772-1:2017. Energy performance of buildings – Indoor environmental Quality – part 1: Indoor environmental input parameters for the design and assessment of energy performance of buildings. ISO 2017.

ISO TR 17772-2:2017. Energy performance of buildings — Part 2: Guideline for using indoor environmental input parameters for the design and assessment of energy performance of buildings. ISO 2017.

B.W. Olesen et. al. :2020. The use of CO2 as an indicator for indoor air quality and control of ventilation according to EN 16798-1 and CEN/TR 16798-2. Roomvent2020.

D. Khovalyg, O. B. Kazanci, H. Halvorsen, I. Gundlach, W.P. Bahnfleth, J. Toftum, B.W. Olesen, 2020, Critical review of standards for indoor thermal environment and air quality, Energy and Buildings 213, pp. 109819

Fotografia de destaque: © Shutterstock

PARTILHAR

PUBLICIDADE

REVISTA

AGENDA

SOBRE O AUTOR